近期,雷速体育 王鹏彦副教授团队在国际知名期刊《ChemSusChem》上发表了题为“Dual Active Site Engineering of Nickel Selenides by a Substrate Effect for Alkaline Hydrogen Evolution”的研究论文(//doi.org/10.1002/cssc.202501326),雷速体育 为第一署名单位。
【成果亮点】通过基底效应实现析氢双活性位点构筑
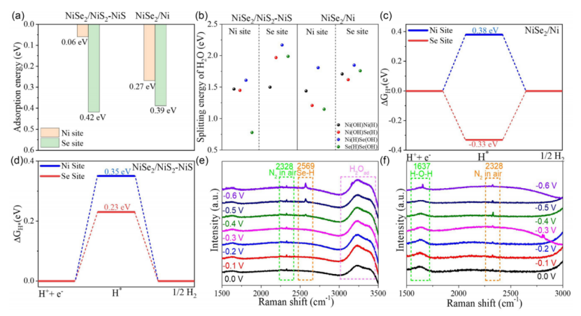
碱性析氢反应(HER)中水分子吸附/解离能垒较高,制约了电解水制氢效率。对此,团队通过异质基底调控策略,在NiSe2中成功构建了镍(阳离子)与硒(阴离子)协同的双活性位点,显著优化了反应动力学。所制备的NiSe2/NiS2-NiS催化剂在碱性条件下仅需46 mV过电位即可达到10 mA·cm-2电流密度,并展现出优异的稳定性与双功能催化潜力。该研究为通过基底效应设计高效HER催化剂提供了新思路。

【机制解析】结合理论计算与原位拉曼光谱揭示催化机理
团队结合密度泛函理论计算(DFT)与原位拉曼光谱,系统分析了异质基底对主催化剂的调控作用。计算结果表明,NiS2-NiS基底促使电子从NiSe2向界面转移,提升了体系的电导率与电荷传输能力。此外,原位拉曼证实Se位点是氢吸附的活性中心,而Ni位点则负责水分子解离,由此实现了不同步骤的协同增效。

a) 水分子在NiSe2/NiS2-NiS和NiSe2/Ni表面不同位点上的吸附能;b) 水分子在NiSe2/NiS2-NiS和NiSe2/Ni表面不同位点上的解离能垒;c) NiSe2/Ni表面和 d) NiSe2/NiS2-NiS表面不同位点上的氢吸附吉布斯自由能;e) NiSe2/NiS2-NiS和 f) NiSe2/Ni在析氢反应过程中的原位拉曼光谱。
新闻小贴士
《ChemSusChem》是国际化学领域的重要学术期刊,专注于可持续化学与能源相关研究的跨学科前沿。该期刊报道和刊登绿色化学、可再生能源、环境催化、能源存储与转换等领域的创新性研究论文、综述和快讯,旨在推动可持续发展目标的实现与国际学术交流。作为化学与可持续性交叉研究的权威平台,本刊被《科学引文索引》(SCI)、Scopus、EI Compendex等国际知名数据库收录,同时入选多国重点期刊推荐目录。其严格的同行评审机制和高影响力内容,使其成为全球科研人员发表可持续化学创新成果的核心载体。